Ever feel like the years are flying by and standing still at the same time? Usually, it’s children that help us feel this odd sensation, but I also can’t believe it’s been TEN years since I first created my numeracy screeners!
Ten years ago, I developed a set of numeracy screeners because I was thinking about why students weren’t necessarily as successful as they could be in the early years of math. What were the gaps that I saw as students got older, that maybe they didn’t have a firm foundation on? One of those things that emerged was definitely numeracy.
Numeracy vs Number Sense
Last week, a new teacher in one of our project schools asked me, “What is numeracy?? What’s the difference between numeracy and number sense?”
The way I describe it is that numeracy is the phonemic awareness of math. In reading, a child with strong phonemic awareness can hear the sounds in a word, like lip, and change one of them to a t. They don’t actually see the letters written down, but they can visualize them in their head and manipulate the sounds to make words. In math, a child can do the same thing with quantities if they have a strong foundation of numeracy.
If I had four in a 10-frame and asked the students to add three, they could visualize putting one counter in the top row to make five, and then adding two more to the bottom row of the 10-frame to make seven. No digits were involved, but students can visualize and manipulate the quantities.
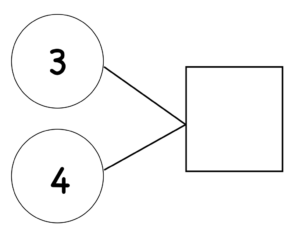
Strong numeracy is foundational for number sense. So, if we moved those same numbers to digits in a number bond, with 3 and 4 on the spokes, and we asked a student to write the total, that would require number sense as the student works with the numbers to find an answer
If we had a hundreds chart, and asked a student to tell us 10 more than 45, we would hope they can abstractly move down to 55 based on their understanding of the patterns of the chart, or their number sense. If not, we could go back and use an abacus to show the quantity, four rows of 10 and one row of 5, add 10 more beads, and then have a student read the quantity.
Numeracy uses quantities and structures to help kids think about math conceptually, where number sense is more concerned with “math” as we traditionally think of it, with digits and algorithms that helps kids DO math.
The OG Numeracy Screener
Our first screener looked at the numeracy concept of conservation to 5, meaning that they could look at an image and tell how many it is without counting one-to-one. We know we have five fingers, we aren’t growing anymore and (hopefully!) not going to lose any. So we know there are always five fingers. But so often, students go back and recount those five fingers when they’re adding five and three, instead of starting with the larger number and counting on.
Back in the day, before digital downloads were a thing, I remember sitting at my kitchen table, physically burning this numeracy screener onto CDs with a multi-CD burner and printing Avery labels that never seemed to align quite right. It sounds archaic now, but we actually handed these CDs to teachers or passed them out at a conference so people could put them in their CD drive on their computer and open it up to download the file to print the screener.
But it was still a lot of work. If you didn’t buy the pre-printed kit that got shipped to you in the mail, you had to print and cut out your 5-frame cards, print out the answer sheet for your whole class, and call one kid at a time to sit in front of you while you show them 5-frame cards and record their answers. This took forever, as I’m sure you remember, and I don’t remember really being able to look at gaps in my class as the data just wasn’t as useful because it was on paper for each individual kid.
Additionally, with a single deck of 5-frames to flash, teachers weren’t really getting an accurate picture of a child’s knowledge. A student might be able to identify a quantity on a 5-frame without counting, and so they technically were marked correct. But teachers weren’t checking to see if students knew the same quantity in other modalities. No one wanted (or had time!) to go through a set of 15 cards where students saw vertical 5-frames, horizontal 5-frames, scatter patterns, domino patterns, and dice patterns up to 5.
Then, as CD drives started disappearing, we decided to get fancy and actually put it on jump drives that had our SIS4Teachers logo and we thought we were hot stuff! But you still had to physically plug something into your computer to get the screener, and you still had to print and cut out and physically record the data.
Solving the Screener Problems
Access
Now, of course, we’ve realized the need for a digital screener framework to solve so many of our previous challenges. Many of our schools use Illuminate or Schoology or Otis, and some even use our favorite, ESGI, all of which house digital screeners which allow teachers to gather data on their students’ numeracy levels. But what happens if you’re a school district that doesn’t have this particular software to be able to do all of these really great things?
We believe so strongly in screening for numeracy development that we made our screeners into a Google Form, accessible by any school anywhere! It’s as easy as clicking a button, entering your students’ names and then being able to look at data to see where students are struggling. This screener series comes with tutorial videos, and a progression flowchart to guide you through using the 10 individual screeners, scoring guides, and an extensive list of activities that target each level of numeracy development.
Depth of Understanding
Our previous screener only looked at the very basic surface level, and it wasn’t effective. After some deep thinking and extensive research with students in classrooms studying “summer slide” and the effects of learning during COVID, we’ve created two different “tracks” of screeners.
We decided to look at three areas of conservation to five to be absolutely sure that every student truly had the concept, instead of just memorizing the 5-frame and moving on to 10. All three modalities (vertical 5-frames, horizontal 5-frames, and dice patterns) are now screened so teachers can be sure their students are truly understanding. Once they have conservation to 5, we move on to conservation to 10, 20, 40, and even 100 with an abacus.
The other aspect of numeracy is combinations and missing addends, and we’ve added a “track” for this concept. We see a lot of first graders being taught to “pound and count on.” Unfortunately, they’re still pounding and counting on even when they are in fifth grade. So we need to help them think about it differently by using part-part-total cards to look at combinations and missing addends within a 5-frame structure, and then eventually a 10-frame structure.
We can use a part-part-total card to screen students for understanding of both combinations AND missing addends. For example, the card shows the number 4 and then two 5-frames, one displaying three and the other displaying one.
For combinations, we cover up the four with a question mark and then see if students can quickly visualize three and one more being four. For missing addends, we put the question mark over one of the parts, the three for example, and say, “I wish I had four, but I only have this many (pointing to the 5-frame with one).” We’re looking to see if the student can quickly determine the missing part to be three.
Conservation to 5
Wouldn’t it be amazing if kindergarteners could leave their first year of school having conservation of five, really well, but also having a firm understanding of combinations and missing parts? This is really the numeracy aspect of combinations and missing addends.
But what if I replaced that with a number bond card with the same quantities, only in digits – a three in one spoke, a one in the other? That would require number sense.
However, what I’m seeing is that students look at a number bond and it’s an abstract idea. They aren’t making the connection to the conceptual idea of quantities (or numeracy). In fact, students just think of the three and start counting on they aren’t thinking of it in a structure at all.
Now, “pound and count on” is a great strategy if you’re counting on one up to about three. But if we’re counting on more than three, we really need to be using a structure of some sort to get students to understand, conceptually, what this looks like.
To help students make this leap from conceptual to abstract, we have some new part-part-total cards that have 5-frames in the number bonds! Preschool, Kindergarten, and even some 1st grade students will definitely benefit from determining quantity and giving the total or missing addend.
We’ve also added this as a layer of our screener. Kindergarteners might start off looking at the 5-frame, and if they fail that screener, they will go back to the kinesthetic level that we’ve previously talked about before (being able to one-to-one correspond with your actual body on poly spots – see video below). But if they have an understanding of conservation to five, can we push our Kinder students a little bit further and bring them down this track of combinations and missing addends, which you’ll see on our screener flowchart. We want to make sure we’re working students through both tracks simultaneously.
Conservation to 10
My old screener used to look at scatters to 10 and 10-frames to 10, but the problem was that students were memorizing the 10-frame. If I showed eight – five on the top and three on the bottom, they’d say, “I know it’s eight because I’m super smart,” or “I thunk it in my brain!” So, I would say that the student had achieved conservation to 10 when actually they were just memorizing the structure. As soon as I would show them a quantity in a linear modality on the Counting Buddy Jr., they’d see five beads of one color and three of another, and go right back to one-to-one counting.
Assessing scatters to 10 was also a challenge. Scatters from six to 10 are especially hard for students to look at quickly and determine. However, the whole idea of scatters is to look at it as a part-part-total, which is a different skill from conservation.
Our new conservation to 10 screener has been revamped to go deeper, eliminating the scatter element, but definitely exploring other modalities, such as in a 10-frame and linear with the top row of a rekenrek or a Counting Buddy Jr. This screener can definitely tell us more than just whether or not a student has developed the idea of conservation to 10.
Once a student has mastered conservation to 10, we’re going to continue on with conservation to 20, but we’re also going to simultaneously work on combinations to 10 and missing addends to 10 at the same time. We have two brand new screeners that feature part-part-total cards that were highlighted last school year. Students will see two 10-frame structures, one 10-frame with six and another with two, and if we cover the total of eight to see if the student we want to see if they can use the 10-frame structure to determine the total instead of the “pound and count on” strategy.
We could also cover the 10-frame with six and say, “I wish I had eight.” The student would only be looking at the 10-frame that has two, and we hope they are really able to identify those missing addends and combinations.
Now remember, these activities and screeners are not at a number sense level. I’m not asking students to do the Two out of Three Race or D.C.’s Number Bond Race or an actual number bond card. I’m really focused on numeracy to see if my first graders can see the part-part-total structure before I have them connect it to number sense.
Conservation to 20
Continuing in our conservation track, we now have a screener that’s called conservation to 20, where students look at quantities in a double 10-frame and a rekenrek structure. A rekenrek has five red beads and five white beads on the top and five red beads and five white beads on the bottom, this is more of linear look at 10 and 10, which is different than what we see with the double 10-frame, which is two rows of 5 twice.
Conservation to 20 is a great way to look to see if our second graders need help with this. And if they don’t have their combinations to 10 we can back up to that first grade level looking at combinations and missing addends.
Beyond Conservation to 20
We don’t want to stop at conservation to 20. Conservation to 40 is another brand new screener we are including in this series. We want to see if students can extend their knowledge of quantity and see, for example, three full 10-frames and six more, and instantly say that it is 36. Or do they need to stop and count each dot or even skip count by 10s. This is a precursor to see if our first and second graders understand the idea of numeracy within place value.
Finally, we take conservation to 100 on an abacus. We typically use an abacus that reverses the color halfway through. The first 50 are red and then white, and then the second 50 are white and then red. We want to see if kids can look at a quantity like 73 on an abacus, seven rows of 10 and three ones, and determine the total, or do they have to count? It would be amazing if students could make it to this level by the end of first grade, as conservation to 100. This relates so much to their understanding of place value as they are adding 10s and 1s and looking at the hundreds chart.
My original CD screener was leaning down this avenue of research, but hadn’t quite made it this far. Ten years later, I think it’s so good to rethink the things we’re doing in the classroom, not only with technology (be honest, who really has a CD drive in their computer anymore???), but with breaking down this broad concept of numeracy into such specific levels and being able to assess it more completely.
We’ve got Conservation – Now What?
Once you feel that students have a solid numeracy foundation, there are some great activities that can move them forward into number sense. We have so many resources to help you start working on combinations and missing addends. Start with switching to a number bond card, or have students use the Two out of Three Race. We want to see if students can tell you the two parts of a number through 10, and eventually through 20.
You could also use D.C.’s Number Bond Race, where students see a total and find the missing part. For example, we start with a 16 and I know that there are eight on one spoke, what is the other part? This moves students away from the idea of numeracy, but ultimately toward the goal – which is to develop fluency for combinations and missing addends to 10 in first grade, and then in second grade all the way up in 20.
Unfortunately, that’s not what I’m seeing. I’m in a lot of schools and I think there’s a whole lot of work to do in this area. I still see students counting on their fingers, putting a number in their head and counting on. If we don’t take time to back up, and determine and address the numeracy levels behind a student’s number sense, we’re never going to get to the root of the problem. Hopefully these screeners will give us the first information that we need, which is finding out the instructional level of our students and meeting them at their level with resources to build up their numeracy.
What are you seeing in your classroom with combinations and missing addends? Do you think that numeracy levels are solid or need work? Share your observations in the comments!






